美高梅MGM(中国)

    中文 English
    news

    深度解析NMN原料的流动性,科学评价方法大公开!|产品科普

    来源: | 发布日期:2024-07-05 | 浏览次数:1

    我们在生活中经常会服用到粉剂胶囊,它们的重量是如何保持一致的呢?

    其实这和胶囊中粉末原料的流动性密切相关。原料的流动性对产品的分装,胶囊剂与片剂等的重量差异,以及正常的生产操作具有重要影响。

    那么,如何科学评价NMN原料的流动性?

    一、休止角与流动性

    休止角是检验粉体流动性好坏最简便的方法,但不同测量方法的数据有所不同,重现性较差,因此不能把休止角作为粉体的一个物理常数。

    休止角:(Angle of Repose,θ)粒子在粉体堆积层的自由斜面上滑动时,当所受重力和粒子间摩擦力达到平衡时处于静止状态,此时粉体堆积层的斜面与水平面的夹角即休止角。

    一般认为θ≤30°时,粉体流动性好;θ≤40°时可以满足生产过程中流动性的需求。

    常用的测定方法有注入法、排出法和倾斜角法等,如图所示。

    微信图片_20240705130057

    微信截图_20240705130106

    二、 压缩度和豪斯纳比与流动性

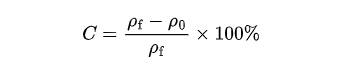
    将一定量的粉体在无振动的状况下装入量筒后测量最初松体积,顺利获得振动使粉体处于最紧状态,测量最终的体积;计算最松密度ρ0与最紧密度ρf,根据公式计算压缩度C。

    微信截图_20240705130345

    1.压缩度小于20%时流动性较好;

    2.压缩度为20%~40%时流动性差;

    3.压缩度大于40%时流动性极差。

    豪斯纳比反映体积变化:粉体松散状态的表观体积(Vo)和振实体积(Vf)比值为豪斯纳比。

    微信截图_20240705130115

    NMN的流动性越好,产品越好?

    流动性过强或者太差都不利于产品的应用和加工。流动性不佳带来的问题是显而易见的,流动性过强可能会带来以下问题:

    微信截图_20240705130700


    一般情况下,休止角是测定NMN流动性较为常用的方法,其最佳范围宜控制在30°~40°之间。

    欢迎您就技术细节与我们进行深入探讨

    参考资料:

    [1] 潘卫三,刘伟. 药剂学. 北京: 化学工业出版社,2017.

    [2] 国家药典委员会.粉体流动性测定指导原则[EB/OL].(2022.12.19)[2024.07.02].[http://mp.weixin.qq.com/s/QMEynsdJwzCIdBAM8qPEGA]

    免责声明:

    本文信息均来源于公开资料,相关信息仅做分享学习,不代表任何医疗建议用途及商业建议。如有侵权,请联系作者删除。未经本公司书面许可,任何组织和个人不得以任何形式翻版、复制、发表或引用,如征得本公司同意进行引用、刊发的,须在本公司允许的范围内使用。


    【责任编辑】

    推荐资讯

    关注我们
    苏州美高梅MGM(中国)生物科技股份有限公司©版权所有

    公安备案:苏公安网备32059002003709号

    备案号:苏ICP备15063363号